2026.02.25

Primordial Black Holes as Dark Matter and the Tachyonic Trap During Inflation

SOKENDAI研究派遣プログラム 採択年度: 2025

古田悠真

素粒子原子核

 

 

 

 

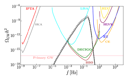
Energy density of gravitational waves Ω_GW h^2 as a function of the frequency f in units of Hz
Energy density of gravitational waves Ω_GW h^2 as a function of the frequency f in units of Hz

Energy density of gravitational waves Ω_GW h^2 as a function of the frequency f in units of Hz where h is the dimensionless Hubble constant. The black dashed curve represents the spectrum of SIGWs, the black solid curve shows GWs with the dissipation, and the pink curve marks the approximate amplitude of primary GWs. Other colored curves show the sensitivities of various gravitational wave observatories. They are the International Pulsar Timing Array (IPTA) (red), the Square Kilometre Array (SKA) (grey), the Laser Interferometer Space Antenna (LISA) (cyan), the Deci-Hertz Interferometer Gravitational-Wave Observatory (DECIGO) (green), the Big-Bang Observer (BBO) (brown), the Hanford-Livingston-Virgo (HLV) (yellow), the Hanford-Livingston-Virgo-KAGRA (HLVK) (purple), the Einstein Telescope (ET) (blue), and the Cosmic Explorer (CE) (orange).

 我々は、複数のスカラー場がinflatonになるようなmulti-fileds inflation中において、共鳴プロセスがsmall scaleで大きな曲率ゆらぎを生成しうることを示しました。このゆらぎは、自然にdark matterを構成する可能性のある原始ブラックホールの形成、およびデシヘルツ帯のstochasticなinduced gravitational wavesの生成に繋がります。さらに、形成された原始ブラックホールのバイナリーは、DECIGO や BBO に加えてアクシオンのresonant cavity実験によって探査できるようなgravitational wavesを生成します。

 今回生成されたsmall scaleでのゆらぎからは、質量が 程度の原始ブラックホールが生成されることがわかりました。一般に の質量領域の原始ブラックホールは、未解明なdark matterの候補になりうることが知られています。今回生成された原始ブラックホールの質量およびそのabundanceは、現在制約を受けずdark matterのほぼ100%を説明しうることが示されました。さらにこれら原始ブラックホールのバイナリーは、近年観測が盛んに行われているgravitational wavesを生成する可能性があります。今回の研究において得られた原始ブラックホールのバイナリーが生成したgravitational wavesは、アクシオンのresonant cavityに感度を持つことが示されました。

 またinflation中のテンソルのゆらぎの2次もinduced gravitational waveを生成します。今回の研究においてはこのスペクトルを計算し、そのスペクトルが今後将来予定されている重力波観測のLISA、DECIGO、BBOに感度をもつことが示されました。またneutrinoのような軽い質量をもつ粒子の平均自由行程により、重力波のsourceとなるゆらぎが減衰され重力波に影響することが最近指摘されていました。今回は従来の先行研究と異なり、このような影響も考慮したinduced gravitational waveのスペクトルも計算しました。結果スペクトルのピークおよび低周波数領域で減衰していることがわかりました。

派遣先滞在期間

Date of Departure: 2025/10/01
Date of Return: 2025/10/30

国、都市等

Vilnius, Lithuania

機関名、受入先、会議名等

Center for Physical Sciences and Technology (FTMC)

発表題目

Inflation models selected by the swampland distance conjecture with the Lyth bound

‍派遣中に学んだことや得られたもの

 得られたものは主に2点あります。1点目は研究の発表成果です。派遣前は発表の予定はありませんでしたが、共同研究先で日々議論させていただく中で直近の私の研究に興味を持っていただき、発表機会を設けていただけました。事前に研究所全体にアナウンス後、10月23日現地時間14時から研究内容について発表いたしました。その中で将来的なテーマとして、私の結果をさらに発展させる方法についてもいくつかの示唆をいただきました。

 2点目はmulti-fields inflationにおけるゆらぎの取り扱いです。inflationの専門家である派遣先の共同研究者と、inflationについて度々議論させていただきました。今後のinflationの研究において重要な、multi-fieldsにおけるゆらぎの取り扱いについて学ぶことができました。

高エネルギー加速器科学研究科素粒子原子核専攻 古田悠真
学年:5年一貫制博士課程5年